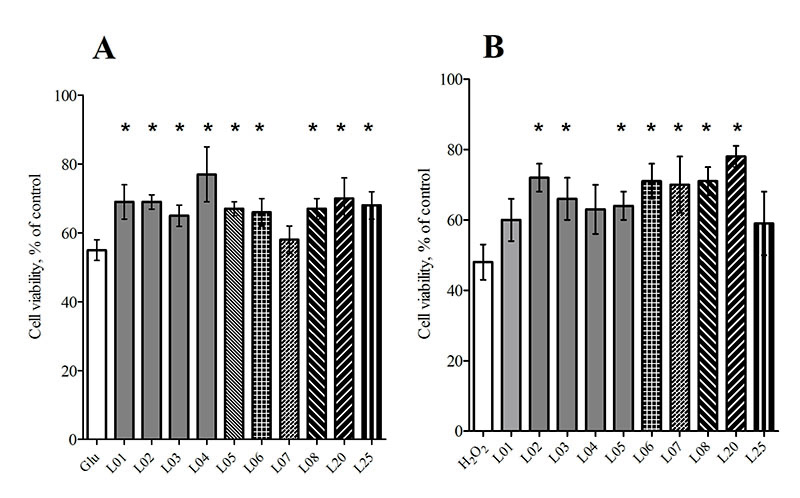
Figure 3. The protective action of lactones at a concentration of 1 μM with respect to the toxic effect of glutamate 25 mM (a) and H2O2 60 μM (b) on human SK-N-MC human neuroblastoma cells. (a) Cells were incubated with lactones for 24 hours and then 25 mM glutamate was added for a further 24 hours. (b) Cells were incubated with lactones for 24 hours, followed by addition of 60 μM H2O2 for an additional 24 hours. Data are expressed as% of control (control of 0.3% DMSO) as mean ± SD (n = 3).