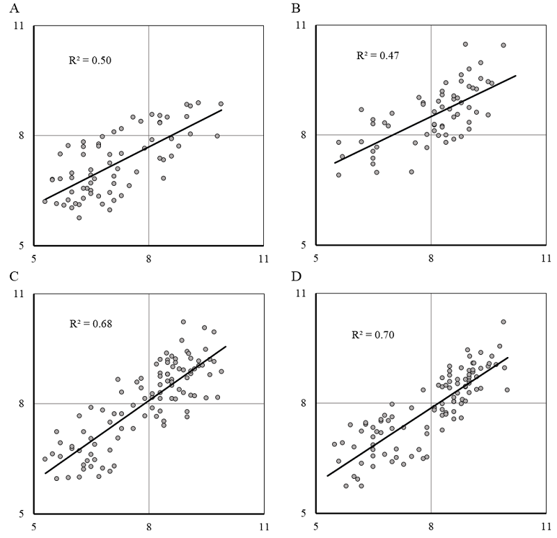
Figure 2. The comparison of observed and predicted pKi values in testing procedure. A. The prediction for set M2 by the equation obtained for set M1, M3, M4, M5. B. The prediction for set M3 by the equation obtained for set M1, M2, M3, M5. C. The prediction for even half of the set M1, M2, M3, M4, M5 by the equation obtained for odd part. D. The prediction for odd half of the set M1, M2, M3, M4, M5 by the equation obtained for even part.