JUSTIFIED CHOICE OF A SUBSTRATE FOR ALKALINE PHOSPHATASE BASED ON THE ENZYMATIC KINETICS AND ELECTROCHEMICAL CHARACTERISTICS OF SCREEN-PRINTED CARBON ELECTRODES IN IMMUNOSENSORS
1Univers Diagnostics, 42/1 Bolshoy Bulvar, Moscow, 121205 Russia
2Institute of Biomedical Chemistry, 10 Pogodinskaya str., Moscow, 119121 Russia; *e-mail: agafonovaluba@mail.ru
Keywords:immunosensors; electrochemical enzyme immunoassay; alkaline phosphatase substrates; electrochemical pretreatment
DOI:10.18097/BMCRM00281
In this study, a substantiated selection of a substrate for further use in electrochemical enzyme immunoassay is carried out based on the parameters describing the enzymatic kinetics and the electrochemical characteristics of the products of electroenzymatic reactions. Data from an analysis of the electrochemical characteristics of screen-printed graphite electrodes (SPE) using various surface pretreatments are presented. Using SPE pretreatment in sulfuric acid, it was possible to achieve a significant decrease in the background current and lower the detection limit of 1-naphthol, which is a product of the enzymatic reaction catalyzed by alkaline phosphatase, to 0.73 μM in the differential pulse voltammetry (DPV) mode and to 0.09 μM in the chronoamperometry (CA) mode without the use of additional catalysts. The selected substrate and pretreatment were used in a quantitative electrochemical enzyme-linked assay for the determination of procalcitonin (PCT). The sensitivity coefficient and detection limit were 109 nA×mL/mg and 0.8 ng/mL, respectively.
|
Figure 2.
Comparison of Michaelis constants (Km) for different substrates, as well as the coefficient of determination (R2) for data fitted to Equation 1.
|
|
Figure 3.
CVs for unmodified SPEs without pretreatment in a potassium ferri/ferrocyanide solution as an external electrolyte at different potential scan rates.
|
|
Figure 5.
Comparison of electroactive areas before and after pretreatment of SPEs (geometric surface area 2.54 mm2 (0.0254 cm2)).
|
|
Figure 7.
Comparison of key electrochemical parameters calculated from EIS and CV data for SPEs before and after treatment.
|
|
Figure 8.
Current value recorded in the background electrolyte (50 mM DEA) for SPEs with different pretreatments.
|
|
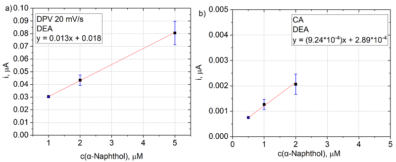
Figure 9.
Сoncentration dependence of the oxidation current of α-naphthol recorded in DEA buffer for SPEs treated in sulfuric acid by detection mode: (a) DPV and (b) CA.
|
|
Figure 10.
Сoncentration dependence of the oxidation current of α-naphthol recorded in DEA buffer for SPEs treated in sulfuric acid by detection mode: (a) DPV and (b) CA.
|
FUNDING
The work was performed within the framework of the Program for Basic Research in the Russian Federation for a long-term period (2021-2030) №122030100168-2
REFERENCES
- Police Patil, A.V., Chuang, Y.-S., Li, C., Wu, C.-C. (2023) Recent Advances in Electrochemical immunosensors with nanomaterial assistance for signal amplification. Biosensors, 13(1), 125. DOI
- Chen, H., Zhang, J., Huang, R., Wang, D., Deng, D., Zhang, Q., Luo, L. (2023) The Applications of electrochemical immunosensors in the detection of disease biomarkers: a review. Molecules, 28(8), 3605. DOI
- Archakov, A.I., Shumyanceva, V.V, Bulko, T.V., Kurny`shova, A.V., Vagin, M.Y. (2008) Electrochemical biosensor for direct determination of myoglobin and method for its production, Russian State Patent Agency Certificate, No. RU 2367958 C1 of 17.01.2008. https://www.fips.ru/cdfi/fips.dll/ru?ty=29&docid=2367958
- Shumyantseva, V.V., Bulko, T.V., Vagin, M.Yu., Suprun, E.V., Archakov, A.I. (2010) Electrochemical immunoanalysis of cardiac myoglobin. Biomeditsinskaya Khimiya, 56(6), 758–768. DOI
- Shumkov, A.A., Suprun, E.V., Shatinina, S.Z., Lisitsa, A.V., Shumyantseva, V.V., Archakov, A.I. (2013) Gold and silver nanoparticles for electrochemical detection of cardiac troponin i based on stripping voltammetry. BioNanoScience, 3(2), 216–222. DOI
- Bartlett, P.N. (2008) Bioelectrochemistry: fundamentals, experimental techniques and applications. John Wiley & Sons, 494 p.
- Gerdan, Z., Saylan, Y., Denizli, A. (2024) Biosensing platforms for cardiac biomarker detection. ACS Omega, 9(9), 9946–9960. DOI
- Nazir, S., Iqbal, R.A. (2023) Biosensor for rapid and accurate detection of cardiovascular biomarkers: Progress and prospects in biosensors. Biosensors and Bioelectronics: X, 14, 100388. DOI
- Shumyantseva, V.V., Bulko, T.V., Suprun, E.V., Kuzikov, A.V., Agafonova, L.E., Archakov, A.I. (2015) Electrochemical methods for biomedical investigations. Biomeditsinskaya Khimiya, 61(2), 188–202. DOI
- Suprun, E., Bulko, T., Lisitsa, A., Gnedenko, O., Ivanov, A., Shumyantseva, V., Archakov, A. (2010) Electrochemical nanobiosensor for express diagnosis of acute myocardial infarction in undiluted plasma. Biosensors and Bioelectronics, 25(7), 1694–1698. DOI
- Shumyanceva, V.V., Suprun, E.V., Bulko, T.V., Archakov, A.I. (2010). Gemoproteiny' i sensorny'e sistemy' medicinskogo naznacheniya na ix osnove. In Khimicheskii analiz v meditsinskoi diagnostike (Chemical Analysis in Clinical Diagnistics), Moscow, Nauka, pp. 181–211.
- Shumkov, А.А., Suprun, E.V., Shumyanceva, V.V., Archakov, A.I. (2010) Sensorny`e e`lektroximicheskie sistemy` dlya analiza kardiomioglobina. Biomedicina, 1(5), 146–148.
- Suprun, E.V., Shilovskaya, A.L., Lisitsa, A.V., Bulko, T.V., Shumyantseva, V.V., Archakov, A.I. (2011) Electrochemical immunosensor based on metal nanoparticles for cardiac myoglobin detection in human blood plasma. Electroanalysis, 23(5), 1051–1057. DOI
- Shumyantseva, V.V., Bulko, T.V., Suprun, E.V., Archakov, A.I. (2013) Electrochemical sensor systems based on one-dimensional (1D) nanostructures for analysis of bioaffinity interactions. Biomeditsinskaya Khimiya, 59(2), 209– 218. DOI
- Shumkov, A.A, Suprun, E.V., Shumyanceva, V.V., Archakov, A.I. (2011) Sensorny`j e`lement na osnove nanochasticz zolota dlya opredeleniya kardiomarkyorov. Biomedicina, 1(3), 46–49.
- Brabec, V., Mornstein, V. (1980) Electrochemical behaviour of proteins at graphite electrodes. I. Electrooxidation of proteins as a new probe of protein structure and reactions. Biochimica et Biophysica Acta (BBA) - Protein Structure, 625(1), 43–50. DOI
- Reynaud, J.A., Malfoy, B., Bere, A. (1980) The electrochemical oxidation of three proteins: RNAase A, bovine serum albumin and concanavalin A at solid electrodes. Journal of Electroanalytical Chemistry and Interfacial Electrochemistry, 116, 595–606. DOI
- Brabec, V., Mornstein, V. (1980) Electrochemical behaviour of proteins at graphite electrodes. Biophysical Chemistry, 12(2), 159–165. DOI
- Malfoy, B., Reynaud, J.A. (1980) Electrochemical investigations of amino acids at solid electrodes. Journal of Electroanalytical Chemistry and Interfacial Electrochemistry, 114(2), 213–223. DOI
- Reynaud, J.A., Malfoy, B., Canesson, P. (1980) Electrochemical investigations of amino acids at solid electrodes. Journal of Electroanalytical Chemistry and Interfacial Electrochemistry, 114(2), 195–211. DOI
- Kim, J., Park, M. (2021) Recent progress in electrochemical immunosensors. Biosensors, 11(10), 360. DOI
- Heineman, W.R., Halsall, H.B. (1985) Strategies for electrochemical immunoassay. Analytical Chemistry, 57(12), 1321A-1331A. DOI
- Nellaiappan, S., Mandali, P.K., Prabakaran, A., Krishnan, U.M. (2021) Electrochemical immunosensors for quantification of procalcitonin: progress and prospects. Chemosensors, 9(7), 182. DOI
- González-Sánchez, M.I., Gómez-Monedero, B., Agrisuelas, J., Iniesta, J., Valero, E. (2019) Electrochemical performance of activated screen printed carbon electrodes for hydrogen peroxide and phenol derivatives sensing. Journal of Electroanalytical Chemistry, 839, 75–82. DOI
- Huang, J., Zu, Y., Zhang, L., Cui, W. (2024) Progress in procalcitonin detection based on immunoassay. Research, 7, 0345. DOI
- Bekhit, M., Blazek, T., Gorski, W. (2021) Electroanalysis of enzyme activity in small biological samples: alkaline phosphatase. Analytical Chemistry, 93(42), 14280–14286. DOI
- Bard, A.J., Faulkner, L.R. (2001) Electrochemical methods - fundamentals and applications (2nd ed). Wiley, 850 p.
- Saxena, R., Srivastava, S. (2019) An insight into impedimetric immunosensor and its electrical equivalent circuit. Sensors and Actuators B: Chemical, 297, 126780. DOI
- Shumyantseva, V.V., Kuzikov, A.V., Masamrekh, R.A., Bulko, T.V., Archakov, A.I. (2018) From electrochemistry to enzyme kinetics of cytochrome P450. Biosensors and Bioelectronics, 121, 192–204. DOI
- Zhao, N., Shi, J., Li, M., Xu, P., Wang, X., Li, X. (2022) Alkaline Phosphatase electrochemical micro-sensor based on 3D graphene networks for the monitoring of osteoblast activity. Biosensors, 12(6), 406. DOI
- Morrin, A., Killard, A.J., Smyth, M.R. (2003) Electrochemical characterization of commercial and home-made screen-printed carbon electrodes. Analytical Letters, 36(9), 2021–2039. DOI
- Randviir, E.P. (2018) A cross examination of electron transfer rate constants for carbon screen-printed electrodes using Electrochemical Impedance Spectroscopy and cyclic voltammetry. Electrochimica Acta, 286, 179–186. DOI










